A uniform distribution, sometimes also known as a rectangular distribution, is a distribution that has constant probability.
It is defined by two parameters a and b where a is minimum and b is maximum
Lets solve the below problem.
What is the probability of x >20 (P(x>20)) and x will be uniform distributed with parameters a=10 and b=30 (x~uniform(10,35))
When we draw a uniform distribution, it looks like below.

To solve the question we need to know two things one is question base/width,height, mean and variance.first let’s understand this and then we will solve our problem.
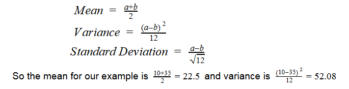
1)Let’s find out mean and variance for one of our question x~ uniform(10,35).

2) Now we will find height and width of our below uniform distribution

To find the height of the distribution. The area under a probability distribution is always 1. As there are 35 units (from 10 to 35), then the height is 1/25.
Lets calculate height;
As per the above definition area will be 1.
Q) P(x>20)
p(x>20) = width * height
For height we took 35-10 because we need to find the probability in between this
For width we took 35-20, because we need to find the probability p(x>20) means between 20 and our b values 35
When we substitute above values.
p(x>20) = 15*0.04 = 0.6
So it is 0.6 or 60 percent probability that p(x) will be greater than 20